Le titulaire de ce diplôme est un professionnel qualifié, opérationnel dans les activités de cuisine. Il maîtrise les techniques de réalisation et de présentation de tous les mets à la carte du restaurant. Il participe à l’approvisionnement, à la gestion des stocks et aux relations avec les fournisseurs. Ses compétences en gestion et en comptabilité lui permettent de contribuer à la maîtrise des coûts .
Il peut exercer son activité dans des contextes diversifiés; restauration traditionelle, thématique ou collective.Il est apte à animer une équipe.
Il intègre à son activité les problématiques de respect de l’environnement, de développement durable, les règles d’hygiène, de santé et de sécurité, en valorisant les dimensions de nutrition, plaisir et bien-être.
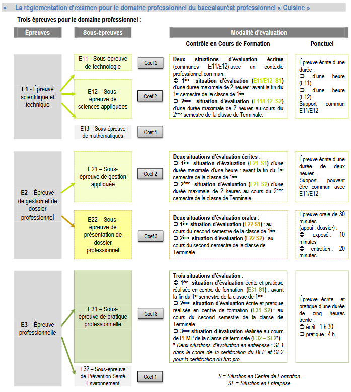
Mise en œuvre du CCF (cadre réglementaire)

Repères pour la formation
Référentiel des activités professionnelles et de certification


